Your Contoh soal present perfect tense kelas 9 images are ready in this website. Contoh soal present perfect tense kelas 9 are a topic that is being searched for and liked by netizens today. You can Find and Download the Contoh soal present perfect tense kelas 9 files here. Get all free images.
If you’re looking for contoh soal present perfect tense kelas 9 pictures information linked to the contoh soal present perfect tense kelas 9 interest, you have come to the ideal blog. Our website frequently gives you suggestions for seeking the highest quality video and image content, please kindly hunt and locate more enlightening video content and graphics that fit your interests.
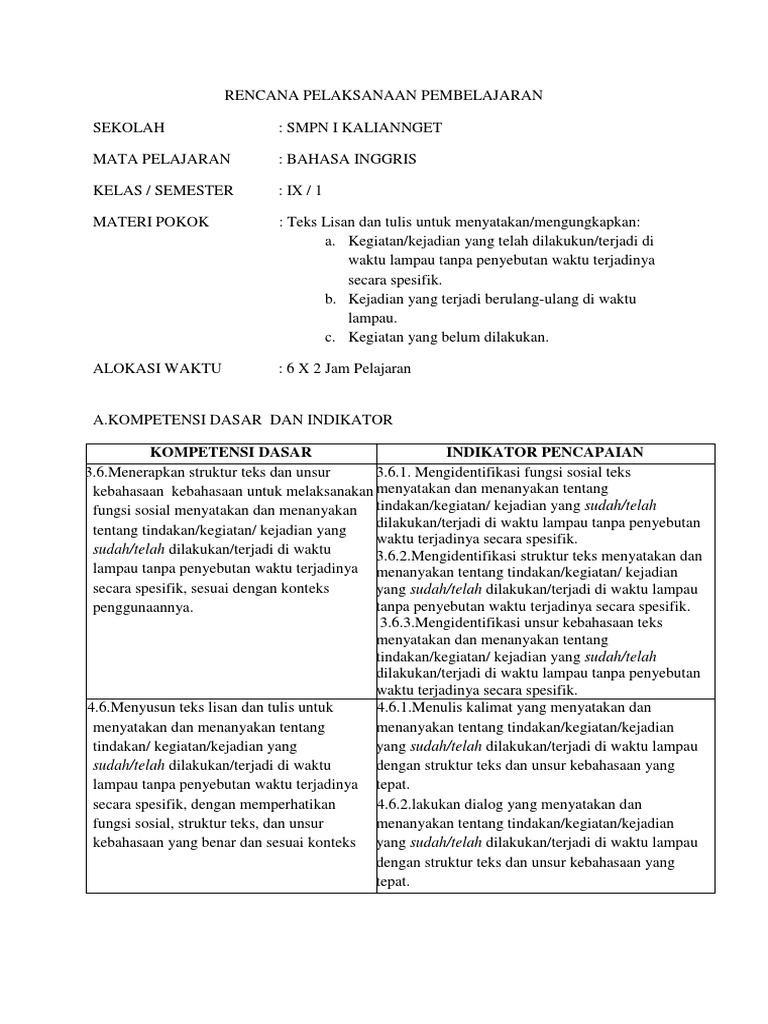
Contoh Soal Present Perfect Tense Kelas 9.
31 Contoh Soal Bahasa Inggris Tentang Present Perfect Tense Kumpulan Contoh Soal From teamhannamy.blogspot.com
Source: englishexercises.org
Source: fr.scribd.com
Source: python-belajar.github.io
Source: brainly.co.id
Source: brainly.co.id
Source: englishcafe.co.id
Source: brainly.co.id
Source: teamhannamy.blogspot.com
Source: yec.co.id
Source: teamhannamy.blogspot.com
Source: bagicontohsoal.blogspot.com
Source: scribd.com
Source: contohsoalitu.blogspot.com
Source: jagoanbahasainggris.com
Source: brainly.co.id
Source: yec.co.id
Source: jagoanbahasainggris.com
Source: barucontohsoal.blogspot.com
This site is an open community for users to do sharing their favorite wallpapers on the internet, all images or pictures in this website are for personal wallpaper use only, it is stricly prohibited to use this wallpaper for commercial purposes, if you are the author and find this image is shared without your permission, please kindly raise a DMCA report to Us.
If you find this site convienient, please support us by sharing this posts to your own social media accounts like Facebook, Instagram and so on or you can also bookmark this blog page with the title contoh soal present perfect tense kelas 9 by using Ctrl + D for devices a laptop with a Windows operating system or Command + D for laptops with an Apple operating system. If you use a smartphone, you can also use the drawer menu of the browser you are using. Whether it’s a Windows, Mac, iOS or Android operating system, you will still be able to bookmark this website.





