Your Contoh soal meyimpulkan pendapat dalam teks wawancara kls 7 images are available. Contoh soal meyimpulkan pendapat dalam teks wawancara kls 7 are a topic that is being searched for and liked by netizens today. You can Get the Contoh soal meyimpulkan pendapat dalam teks wawancara kls 7 files here. Find and Download all royalty-free images.
If you’re searching for contoh soal meyimpulkan pendapat dalam teks wawancara kls 7 pictures information related to the contoh soal meyimpulkan pendapat dalam teks wawancara kls 7 interest, you have visit the right blog. Our site always gives you suggestions for seeing the highest quality video and image content, please kindly search and locate more enlightening video articles and graphics that fit your interests.
Contoh Soal Meyimpulkan Pendapat Dalam Teks Wawancara Kls 7. Soal mts evaluasi ulang bahasa inggris kelas vii semester ganjil. 2332021 Contoh soal materi teks diskusi kelas ix 1. Contoh soal teks deskripsi dan kunci jawaban. Teks Editorial biasanya anda temukan dalam sebuah surat kabar biasanya Teks Editorial tersebut berisi pendapat seseorang tentang suatu masalah yang dimuat dalam surat kabar teks berita atau suatu tulisan tersebut.
Contoh Soal Menyimpulkan Pendapat Kontra Dalam Teks Barisan Contoh From barisancontoh.blogspot.com
Ada banyak hal yang harus anda pelajari dalam materi ini. Soal mts ujian tik dan seni budaya kelas. Soal mts semester ganjil 20102011. Contoh Soal Menentukan Struktur dan Ciri Kebahasaan Pidato Persuasif. Farta sampai di planet Mars dan bertemu Tatao hal itu terjadi dua tahun kemudian. Dengan adanya internet apa pun dapat kita lakukan baik positif maupun negatif.
2332021 Contoh soal materi teks diskusi kelas ix 1.
Soal mts ujian tik dan seni budaya kelas. Contoh Soal Gagasan Utama. Internet membantu manusia dalam segala unsur kehidupan. Soal Bahasa Indonesia Kelas 7 Semester 2 Kurikulum 2013 dan Jawabannya Pilihan Ganda Wajib Ada sekitar 40 contoh soal bahasa Indonesia kelas VII7 semester 2 genap yang bisa adik-adik jadikan referensi dalam menjawab tugas dari guru. Kumpulan Contoh Soal Semester Bahasa Indonesia SMPMTS Kelas 7 8 dan 9 Kisi-Kisi Penilaian Akhir Semester PAS Mata Pelajaran Bahasa Indonesia Kelas 7 8 9 Terbaru Tahun Ini Kumpulan Soal Latihan Bahasa Indonesia Kelas 9 Semester Ganjil Materi Teks Laporan Fiksi Non Fiksi Dan Teks Laporan Percobaan. Bagi mereka valentine day adalah momentum mencurahkan kasih sayang kepada orang yang dicintai.
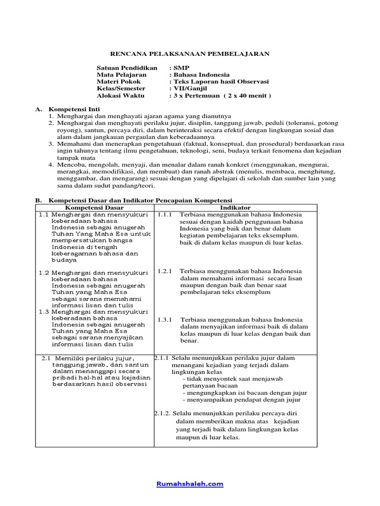
Source: docplayer.info
Bagi mereka valentine day adalah momentum mencurahkan kasih sayang kepada orang yang dicintai. Soal mts evaluasi ulang penjaskes kelas 7 8 dan 9. Soal Bahasa Indonesia Kelas 7 Semester 2 Kurikulum 2013 dan Jawabannya Pilihan Ganda Wajib Ada sekitar 40 contoh soal bahasa Indonesia kelas VII7 semester 2 genap yang bisa adik-adik jadikan referensi dalam menjawab tugas dari guru. Baris pertama dan kedua berupa sampiran. 2 Wiraniaga adalah perantara yang melaluinya kepercayaan ini diperoleh.
Source: barisancontoh.blogspot.com
Baris pertama dan kedua berupa sampiran. Contoh Soal Menentukan Struktur dan Ciri Kebahasaan Pidato Persuasif. Soal Bahasa Indonesia Kelas 7 Semester 2 Kurikulum 2013 dan Jawabannya Pilihan Ganda Wajib Ada sekitar 40 contoh soal bahasa Indonesia kelas VII7 semester 2 genap yang bisa adik-adik jadikan referensi dalam menjawab tugas dari guru. Kumpulan Contoh Soal Semester Bahasa Indonesia SMPMTS Kelas 7 8 dan 9 Kisi-Kisi Penilaian Akhir Semester PAS Mata Pelajaran Bahasa Indonesia Kelas 7 8 9 Terbaru Tahun Ini Kumpulan Soal Latihan Bahasa Indonesia Kelas 9 Semester Ganjil Materi Teks Laporan Fiksi Non Fiksi Dan Teks Laporan Percobaan. Wawancara yang dilakukan tersebut bertujuan untuk menggali informasi sedalam-dalamnya mengenai tema tertentu.
Source: id.scribd.com
Baris pertama dan kedua berupa sampiran. Jawabannya contoh soal teks diskusi pilihan ganda dan jawabannya. Berikut ini adalah contoh teks wawancara tentang tema pendidikan. Berikut ini adalah contoh soal persamaan dasar akuntansi beserta laporan keuangannya 1. Ada sekitar 50 butir soal PGPilihan Ganda bahasa Indonesia tentang teks eksposisi kelas 810 dan jawabannya yang bisa adik-adik SMPSMASMKMA jadikan referensi dalam menghadapi ujian dari guru.
Source: slideshare.net
Hari valentine atau valentine day agaknya tidak asing lagi di kalangan remaja. Berikut ini yang termasuk pembuka dalam sebuah pidato adalah. Maka dengan itu kakak memberi judul artikel ini dengan nama contoh soal dan jawaban teks prosedur kelas 11 12 7 pilihan ganda dan jawabannya. Kalimat berikut yang tidak menggunakan kata sambung penanda urutan waktu adalah. Yang terhormat Bapak Kepala Sekolah SMP Neger.
Source: barisancontoh.blogspot.com
Berikut ini yang termasuk pembuka dalam sebuah pidato adalah. Langkah-langkah menyelesaikan masalah terdapat dalam paragraf keduasampai keenam. Kalimat berikut yang tidak menggunakan kata sambung penanda urutan waktu adalah. Dengan adanya internet apa pun dapat kita lakukan baik positif maupun negatif. Berikut ini adalah contoh soal pilihan ganda teks eksposisi kelas 12 beserta jawabannya.
Source: slideshare.net
Contoh Soal Menentukan Struktur dan Ciri Kebahasaan Pidato Persuasif. Langkah-langkah menyelesaikan masalah terdapat dalam paragraf keduasampai keenam. Simpulan isi teks. Ada sekitar 55 butir soal. Yang bukan merupakan ciri ciri pantun adalah.
Source: slideshare.net
Langkah-langkah menyelesaikan masalah terdapat dalam paragraf keduasampai keenam. Contoh soal teks deskripsi dan kunci jawaban. Contoh Soal Asesmen Kompetensi Minimum Kelas 9 dan 10 secara online ini diharapkan dapat dijadikan referensi guru dan peserta didik untuk persiapan pelaksanaan Asesmen Nasional yang rencananya mulai. Contoh Teks Wawancara Tentang Kesehatan Teks wawancara ialah teks yang di dalamnya berisikan sajian percakapan tentang kegiatan reportase atau wawancara antara pewawancara dan narasumber. Soal mts evaluasi ulang arab melayu kelas 7 8 dan 9.
Source: id.scribd.com
Keberadaan internet memberikan manfaat bagi dunia informasi. AKM Besaran Energi IND ING IPA Kalor Kelas 71 Kelas 72 Kelas 82 Kelas 91 Kelas 92 Klasifikasi MH Listrik Dinamis Listrik Statis Magnet MATERI MTK Optik partikel PAS PAT Pengumuman PERMEN Pewarisan Sifat PKG PKP PPDB Reproduksi Manusia Reproduksi Tumbuhan RPP SOAL SD Soal Semester SOAL UN Suhu Surat Tata Surya USBN ZAT. 55 contoh soal teks diskusi pilihan ganda. 2 Wiraniaga adalah perantara yang melaluinya kepercayaan ini diperoleh. Soal mts evaluasi ulang ski kelas 7 8 dan 9.
Source: barisancontoh.blogspot.com
Maka dengan itu kakak memberi judul artikel ini dengan nama contoh soal dan jawaban teks prosedur kelas 11 12 7 pilihan ganda dan jawabannya. Contoh Soal Kelas IX Pilihan Ganda dan Kunci Jawaban Teks Tanggapan. 2 Wiraniaga adalah perantara yang melaluinya kepercayaan ini diperoleh. Yang bukan merupakan ciri ciri pantun adalah. Contoh Teks Wawancara Tentang Kesehatan Teks wawancara ialah teks yang di dalamnya berisikan sajian percakapan tentang kegiatan reportase atau wawancara antara pewawancara dan narasumber.
Source: barisancontoh.blogspot.com
Ada sekitar 55 butir soal. Contoh Soal Menentukan Struktur dan Ciri Kebahasaan Pidato Persuasif. Evaluasi ulang tik kelas viii semester ganjil tp 2011 2012. Pranata sosial pengertian ciri fungsi dan jenis jenis. Berikut ini adalah kumpulan dari berbagi sumber tentang contoh soal sma menyimpulkan isi tersirat dalam teks yang bisa gunakan untuk file revisi dan diunduh secara gratis dengan.
Source: id.scribd.com
Ada banyak hal yang harus anda pelajari dalam materi ini. Soal mts evaluasi ulang bahasa inggris kelas vii semester ganjil. Sebagai media komunikasi internet dapat digunakan untuk berkomunikasi dengan pengguna lainnya di seluruh dunia. Ada sekitar 50 butir soal PGPilihan Ganda bahasa Indonesia tentang teks eksposisi kelas 810 dan jawabannya yang bisa adik-adik SMPSMASMKMA jadikan referensi dalam menghadapi ujian dari guru. Materi tentang Teks Editorial bisa teman-teman temui di pelajaran bahasa indonesia untuk kelas 12 terutama di.
Source: slideshare.net
Soal mts semester ganjil 20102011. 55 contoh soal teks diskusi pilihan ganda. Soal mts ujian tik dan seni budaya kelas. Teks Editorial biasanya anda temukan dalam sebuah surat kabar biasanya Teks Editorial tersebut berisi pendapat seseorang tentang suatu masalah yang dimuat dalam surat kabar teks berita atau suatu tulisan tersebut. Simak kutipan teks berikut.
Source: slideshare.net
Kemudian kerjakan soal nomor 1 dan 2. Simpulan isi teks. Berikut ini kalimat dalam teks di atas yang tidak mengandungpartisipan manusia secara umum adalah. Soal mts evaluasi ulang arab melayu kelas 7 8 dan 9. Ada sekitar 55 butir soal.
Source: id.scribd.com
Objek permasalahan teks terdapat dalam paragraf kesatu 2. Pranata sosial pengertian ciri fungsi dan jenis jenis. Maka dengan itu kakak memberi judul artikel ini dengan nama contoh soal dan jawaban teks prosedur kelas 11 12 7 pilihan ganda dan jawabannya. Dengan adanya internet apa pun dapat kita lakukan baik positif maupun negatif. Contoh Soal Menentukan Struktur dan Ciri Kebahasaan Pidato Persuasif.
Source: barisancontoh.blogspot.com
Contoh Soal Gagasan Utama. Soal mts evaluasi ulang penjaskes kelas 7 8 dan 9. Sebagai media komunikasi internet dapat digunakan untuk berkomunikasi dengan pengguna lainnya di seluruh dunia. Yang terhormat Bapak Kepala Sekolah SMP Neger. Berikut ini adalah contoh teks wawancara tentang tema pendidikan.
Source: slideshare.net
Soal Bahasa Indonesia Kelas 7 Semester 2 Kurikulum 2013 dan Jawabannya Pilihan Ganda Wajib Ada sekitar 40 contoh soal bahasa Indonesia kelas VII7 semester 2 genap yang bisa adik-adik jadikan referensi dalam menjawab tugas dari guru. Soal mts semester ganjil 20102011. Berikut ini yang termasuk pembuka dalam sebuah pidato adalah. By guru saputra posted on july 14 2020. Kemarau adalah suatu keadaan air yang terkandung di dalam tanah berkurang.
Source: barisancontoh.blogspot.com
2332021 Contoh soal materi teks diskusi kelas ix 1. Soal Bahasa Indonesia Kelas 7 Semester 2 Kurikulum 2013 dan Jawabannya Pilihan Ganda Wajib Ada sekitar 40 contoh soal bahasa Indonesia kelas VII7 semester 2 genap yang bisa adik-adik jadikan referensi dalam menjawab tugas dari guru. Contoh Soal Gagasan Utama. Contoh soal AKM online level 5 kelas 9 dan 10 sebagai gambaran bentuk soal Asesmen Kompetensi Minimum AKM khususnya untuk peserta didik kelas 9 dan 10. Akhirnya Nataga bingung mendengar kekalahan pasukan serigala.
Source: slideshare.net
Internet membantu manusia dalam segala unsur kehidupan. Soal mts ujian tik dan seni budaya kelas. 2422020 Ketika akan melakuakan wawancara sebaiknya memilih narasumber yang kompeten dengan tema yang hendak dipertanyakan dalam kegiatan wawancara. Contoh soal teks deskripsi dan kunci jawaban. Berikut ini adalah contoh soal persamaan dasar akuntansi beserta laporan keuangannya 1.
This site is an open community for users to do submittion their favorite wallpapers on the internet, all images or pictures in this website are for personal wallpaper use only, it is stricly prohibited to use this wallpaper for commercial purposes, if you are the author and find this image is shared without your permission, please kindly raise a DMCA report to Us.
If you find this site good, please support us by sharing this posts to your favorite social media accounts like Facebook, Instagram and so on or you can also save this blog page with the title contoh soal meyimpulkan pendapat dalam teks wawancara kls 7 by using Ctrl + D for devices a laptop with a Windows operating system or Command + D for laptops with an Apple operating system. If you use a smartphone, you can also use the drawer menu of the browser you are using. Whether it’s a Windows, Mac, iOS or Android operating system, you will still be able to bookmark this website.



